Mortgage Loan Calculator for Weber County, Utah
Rate History
Are you a first time Home buyer?
Our First Time Home Buyer Assistance Program is just what you need.Calculating Your Mortgage Loans in Weber County, Utah
Understanding how to calculate your mortgage payments is a critical step when considering home buying or refinancing in Weber County, Utah. Whether you're a first-time homebuyer eyeing a property in Ogden or a current homeowner looking to refinance in Roy, having a clear picture of your financial obligations helps with budgeting and long-term planning. At Summit Lending, based in Tremonton, Utah, we are committed to guiding residents of Weber County through every step of the mortgage process. This comprehensive guide will walk you through calculating mortgage payments, using mortgage calculators, determining affordability, and exploring strategies to lower your monthly costs.
Weber County, with its mix of urban and suburban environments, offers diverse housing options, from historic homes in Ogden to newer developments in South Ogden and North Ogden. According to recent data from the Utah Association of Realtors, the median home price in Weber County as of 2023 is approximately $400,000, which is more affordable than the state average in areas like Salt Lake County. However, mortgage payments depend on several factors beyond just the purchase price, including interest rates, loan terms, and additional costs like taxes and insurance. Let Summit Lending help you navigate these variables to secure a loan that fits your budget.
How to Calculate Your Mortgage Payments
Mortgage payments are typically made on a monthly basis and consist of four main components, often referred to as PITI: principal, interest, taxes, and insurance. The principal is the portion of the payment that goes toward paying down the original loan amount. Interest is the cost of borrowing money, determined by the loan’s interest rate. Property taxes, which vary by location within Weber County, are assessed by local governments to fund services like schools and infrastructure. Insurance can include homeowners' insurance to protect against damages and, in some cases, private mortgage insurance (PMI) if your down payment is less than 20% of the home’s value.
For example, property tax rates in Weber County average around 0.7% of a property’s assessed value, according to the Weber County Assessor’s Office. This means a $400,000 home could incur annual property taxes of approximately $2,800, or about $233 per month. When combined with principal, interest, and insurance, these costs can significantly impact your monthly payment. Understanding each component is essential to avoid surprises and ensure you’re financially prepared for homeownership in areas like Pleasant View or Farr West.
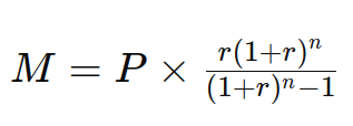
Mortgage Payment Formula
The formula to calculate the monthly mortgage payment (M) for a fixed-rate mortgage, which is one of the most common loan types in Weber County, is as follows:

Where:
- P is the principal loan amount
- r is the monthly interest rate (annual interest rate divided by 12)
- n is the number of payments (loan term in years multiplied by 12)
Let’s break this down with an example relevant to Weber County. Suppose you’re purchasing a home for $400,000 with a 20% down payment ($80,000), resulting in a principal loan amount of $320,000. If you secure a 30-year fixed-rate mortgage at a 4.5% annual interest rate, your monthly interest rate (r) is 0.00375 (4.5% divided by 12). The number of payments (n) is 360 (30 years multiplied by 12). Plugging these numbers into the formula, your monthly payment for principal and interest would be approximately $1,620. Keep in mind, this does not include taxes or insurance, which could add several hundred dollars to your payment depending on your specific location within Weber County.
Typical Mortgage Payment Costs in Weber County
The total cost of your mortgage payment can vary widely based on several factors, including the loan amount, interest rate, term of the loan, and additional expenses like property taxes, homeowners' insurance, and possibly homeowners' association (HOA) fees in certain Weber County neighborhoods. Using the earlier example of a $320,000 loan at 4.5% interest over 30 years, the principal and interest payment is $1,620 per month. Adding an estimated $233 for property taxes and $100 for homeowners' insurance brings the total monthly payment to around $1,953.
These costs can fluctuate based on local market conditions and individual circumstances. For instance, homes in Ogden’s historic districts may have different tax assessments compared to newer developments in West Haven. Additionally, if your down payment is less than 20%, PMI could add another $50 to $150 per month until you reach 20% equity in your home. To get a precise estimate tailored to your situation, use our Loan Calculator and input details such as principal, interest rate, APR, mortgage insurance, and other relevant information. Summit Lending is here to help you interpret these numbers and find the best mortgage solution for your needs in Weber County.
How a Mortgage Calculator Can Help Weber County Residents
Mortgage calculators are powerful tools for prospective homebuyers and current homeowners in Weber County looking to refinance. These calculators provide clarity and insight into your financial commitments by allowing you to:
- Estimate your monthly mortgage payments based on loan amount, interest rate, and term.
- Understand how changes in variables like interest rates or down payments impact your monthly costs.
- Calculate the benefits of making extra payments to reduce the loan term and total interest paid over time.
For instance, if you’re considering a home near Hill Air Force Base in Layton (just south of Weber County but often relevant for residents), a mortgage calculator can help you determine whether a 15-year or 30-year loan term better suits your budget. It can also show how a larger down payment might lower your monthly payment and eliminate PMI. At Summit Lending, we encourage using our online tools to explore different scenarios and plan your finances effectively. Contact us at 385-200-1470 or via email at [email protected] to discuss your results and get personalized advice.
What Kind of Home Can You Afford in Weber County?
Determining how much house you can afford in Weber County depends on several factors, including your income, existing debt, down payment amount, and current mortgage interest rates. A widely accepted guideline is the 28/36 rule, which suggests that your monthly mortgage payment should not exceed 28% of your gross monthly income, and your total debt payments (including the mortgage) should not surpass 36% of your gross income. However, these percentages can vary based on personal financial situations, credit scores, and lender requirements.
For example, if your household earns $80,000 annually, or about $6,667 per month before taxes, 28% of that income is approximately $1,867. This means you should aim for a mortgage payment (including PITI) below this threshold. Given Weber County’s median home price of $400,000, achieving this may require a substantial down payment or a longer loan term to keep monthly costs manageable. Additionally, local factors like employment opportunities. Ogden being a hub for manufacturing and aerospace jobs near Hill Air Force Base. Can influence your income stability and affordability. Summit Lending’s expert brokers can help you assess your financial situation and find a home within your means. Reach out to us at our Tremonton office, located at 305 E Main Street Suite 202, Tremonton, UT 84337, for a consultation.
How to Lower Your Monthly Mortgage Payment in Weber County
Lowering your monthly mortgage payment can make homeownership more affordable, whether you’re buying a new home in Harrisville or refinancing an existing property in Uintah. Here are several strategies to consider:
-
Larger Down Payment:
A larger down payment reduces the principal loan amount, lowering your monthly payment and potentially eliminating the need for PMI. For instance, increasing your down payment from 10% to 20% on a $400,000 home saves you $40,000 in borrowed funds and could cut your monthly payment by hundreds of dollars. -
Longer Loan Term:
Extending your loan term from 15 to 30 years spreads out the repayment period, reducing monthly payments. However, this increases the total interest paid over the life of the loan, so weigh the pros and cons carefully. -
Refinance:
Refinancing at a lower interest rate can significantly reduce your monthly payments and overall interest costs. With interest rates fluctuating in 2023, now might be a good time to explore refinancing options with Summit Lending, especially if you’ve built equity in your Weber County home. Be mindful of closing costs and how long you plan to stay in the home before proceeding. -
Property Tax Appeal:
If you believe your home’s assessed value is too high, you can appeal your property tax assessment through the Weber County Assessor’s Office. A successful appeal could lower your annual tax bill and, consequently, your monthly escrow payments. -
Shop for Insurance:
Comparing homeowners' insurance policies can help you find a more competitive rate, reducing your monthly costs. Weber County’s varied climate, with snowy winters and hot summers, means insurance rates can differ, so shop around for the best deal.
Implementing one or more of these strategies can make a significant difference in your monthly budget. Summit Lending’s team of experienced mortgage brokers, with over 50 years of combined expertise, is ready to assist you in exploring these options. Call us today at 385-200-1470 or email [email protected] to discuss how we can help lower your mortgage payments in Weber County.
Why Choose Summit Lending for Your Weber County Mortgage Needs?
At Summit Lending, we pride ourselves on serving the residents of Weber County, Utah, with personalized mortgage solutions. Whether you’re looking to buy a home near the scenic trails of Ogden Valley or refinance a property in Roy to take advantage of lower rates, our team is equipped to guide you through the process. We offer a variety of loan products, including home buying loans, refinancing options, construction loans, and reverse mortgages, all tailored to meet your unique needs.
Our mortgage brokers are licensed to operate in Utah, Texas, Arizona, Arkansas, Wyoming, or Idaho, with plans to expand to more states. With an office in Tremonton, UT, we’re just a short drive from Weber County and always available to meet in person or assist virtually. Our NMLS #2394434 ensures that we adhere to the highest standards of professionalism and compliance. We understand the local real estate market, including trends in Weber County where, according to Zillow, home values have appreciated by over 5% in the past year as of late 2023, making it a promising area for investment and homeownership.
Beyond just numbers and calculations, Summit Lending is committed to building relationships with our clients. We know that buying or refinancing a home is one of the most significant financial decisions you’ll make, and we’re here to provide clarity, support, and expert advice every step of the way. Don’t navigate this journey alone. Contact Summit Lending today to see how we can help you achieve your homeownership dreams in Weber County.
Conclusion
Calculating your mortgage payments and understanding the factors that influence them are foundational steps in the home buying or refinancing process in Weber County, Utah. From utilizing mortgage calculators to exploring affordability and strategies to reduce monthly payments, being informed empowers you to make sound financial decisions. Weber County’s appealing mix of affordability, natural beauty, and economic growth makes it a prime location for homeownership, and Summit Lending is here to ensure you secure the best mortgage terms possible.
Take the first step toward your dream home or a more manageable mortgage payment today. Use our Loan Calculator to estimate your costs, and then reach out to Summit Lending for personalized assistance. Call us at 385-200-1470, email us at [email protected], or visit our office at 305 E Main Street Suite 202, Tremonton, UT 84337. Let our team of experienced mortgage brokers help you navigate the path to homeownership or refinancing in Weber County with confidence and ease.

